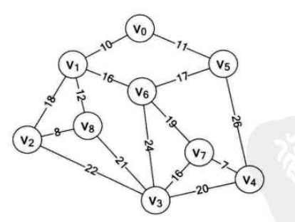
数据结构-图5

学习路径如下:

  1. 图的基本定义
  2. 顶点/边/图的关系
  3. 图的存储结构
  4. 深度/广度优先遍历
  5. 最小生成树本文学习内容

完整工程:zjZSTU/GraphLib

最小生成树

  • 最小生成树

给定无向图\(G=(V,E)\)\((u,v)\)代表连接顶点\(u\)\(v\)的边,\(w(u,v)\)代表此边的权重,如果存在生成树\(T\)使得\(w(T)\)最小(权值之和最小),那么称\(T\)为最小生成树(MST, Minimum Spanning Tree)

有两种方式常用于最小生成树的创建,一是普里姆(prim)算法,二是克鲁斯卡尔(kruscal)算法

普里姆算法

假设\(N=(V,E)\)是连通网,\(TE\)\(N\)上最小生成树中边的集合。算法从\(T=(U, TE), U={u_{0}}(u_{0}\in V), TE=\{\}\)开始。重复执行下述操作:在所有\(u\in U, v\in (V-U)\)的边\((u,v)\in E\)中找一条代价最小的边\((u_{0},v_{0})\)并入集合\(TE\),同时\(v_{0}\)并入\(U\),直至\(U=V\)为止。此时\(TE\)中必有\(n-1\)条边,则\(T=(V,TE)\)\(N\)的最小生成树

  • 因为最小生成树包含连通网所有的顶点,所以从哪个顶点开始都可以
  • 创建一维数组lowcost,表示边集TE的最小权值数组。数组下标表示顶点
    • 如果该顶点未加入最小生成树,则成员值表示该顶点的边权值,符合条件:所连接的另一个顶点在最小生成树中
    • 如果已加入最小生成树,设置为-1
  • 创建一维数组adjvex,表示最小生成树T的边集TE
    • 数组下标表示顶点,成员值表示另一个顶点
    • 两个顶点之间的边权值保存在lowcost对应下标中

Prim算法对顶点进行展开,每次添加一个顶点到MST,难点在于如何找到符合条件的顶点:

  • 初始化时可以随机选择一个顶点加入MST(通常选顶点0)。遍历其他顶点
    • 如果其他顶点与顶点0存在边,则权值加入lowcostadjvex对应下标值设置为0(表示顶点0
    • 如果其他顶点与顶点0不存在边,则lowcost对应下标设置为最大值,adjvex对应下标也设置为0
  • 遍历n-1轮(n表示顶点数)
    • 每一轮都从lowcost中选择一条最小权值边(不包含值为-1的下标),将指定下标加入MSTlowcost对应下标值设置为-1
    • 遍历每次新加入最小生成树T的顶点所连接的边,如果符合条件(另一个顶点不再T中,通过判断lowcost对应下标值是否为-1),与lowcost相应位置权值进行比较,邻接顶点及其权值加入adjvexlowcost

c++实现

分别使用邻接矩阵和邻接表实现普里姆算法

邻接矩阵

1
2
3
4
5
6
7
8
9
10
11
12
13
14
15
16
17
18
19
20
21
22
23
24
25
26
27
28
29
30
31
32
33
34
35
36
37
38
39
40
41
42
43
44
45
void AdjacencyMatrixUndirectedGraph::MiniSpanTree_Prim(MGraph G) {
int min, i, j, k;
std::array<int, MAXVEX> adjvex = {};
std::array<int, MAXVEX> lowcost = {};

// 最先添加顶点0到MST中
// adjvex赋值为边的另一个顶点值, 如果顶点已在MST中,指定下标赋值为-1
int begin_vex = 0;
adjvex[begin_vex] = 0;
lowcost[begin_vex] = -1;
for (i = 1; i < G.numVertexes; i++) {
lowcost[i] = G.arcs[0][i];
adjvex[i] = 0;
}

int weight = 0;
// 遍历n-1轮,得到另外的顶点
for (i = 1; i < G.numVertexes; i++) {
min = GINFINITY;
// 遍历n-1次,搜索最小权值边
j = 1, k = 0;
while (j < G.numVertexes) {
if (lowcost[j] != -1 and lowcost[j] < min) {
min = lowcost[j];
k = j;
}
j++;
}

// 输出最小权值边
printf("(%d, %d) %d\n", adjvex[k], k, lowcost[k]);
weight += lowcost[k];
// 顶点k已加入MST,lowcost赋值为-1
lowcost[k] = -1;

// 比较顶点k的边集和MST的最小权值边集,进行替换
for (j = 1; j < G.numVertexes; j++) {
if (k != j and lowcost[j] != -1 and G.arcs[k][j] < lowcost[j]) {
lowcost[j] = G.arcs[k][j];
adjvex[j] = k;
}
}
}
cout << "最小权值为:" << weight << endl;
}

邻接表

1
2
3
4
5
6
7
8
9
10
11
12
13
14
15
16
17
18
19
20
21
22
23
24
25
26
27
28
29
30
31
32
33
34
35
36
37
38
39
40
41
42
43
44
45
46
47
48
49
50
51
52
53
54
55
56
57
58
void AdjacencyTableUndirectedGraph::MiniSpanTree_Prim(GraphAdjList G) {
int min, i, j, k;
EdgeNode *e;
std::array<int, MAXVEX> adjvex = {};
std::array<int, MAXVEX> lowcost = {};

// 初始化
for (i = 0; i < G.numVertexes; i++) {
lowcost[i] = GINFINITY;
adjvex[i] = 0;
}

// 默认添加顶点0到MST
// adjvex赋值为边的另一个顶点值, 如果顶点已在MST中,指定下标赋值为-1
int begin_index = 0;
adjvex[begin_index] = 0;
lowcost[begin_index] = -1;
e = G.adjList[begin_index].firstEdge;
while (e != nullptr) {
lowcost[e->adjvex] = e->weight;
adjvex[e->adjvex] = 0;

e = e->next;
}

int weight = 0;
// 遍历n-1轮,得到另外的顶点
for (i = 1; i < G.numVertexes; i++) {
min = GINFINITY;
// 遍历n-1次,搜索最小权值边
j = 1, k = 0;
while (j < G.numVertexes) {
if (lowcost[j] != -1 and lowcost[j] < min) {
min = lowcost[j];
k = j;
}
j++;
}

// 输出最小权值边
printf("(%d, %d) %d\n", adjvex[k], k, lowcost[k]);
// 顶点k已加入MST,lowcost赋值为-1
weight += lowcost[k];
lowcost[k] = -1;

// 比较顶点k的边集和MST的最小权值边集
e = G.adjList[k].firstEdge;
while (e != nullptr) {
if (lowcost[e->adjvex] != -1 and e->weight < lowcost[e->adjvex]) {
lowcost[e->adjvex] = e->weight;
adjvex[e->adjvex] = k;
}

e = e->next;
}
}
cout << "MST权值和为:" << weight << endl;
}

克鲁斯卡尔算法

假设\(N=(V,E)\)是连通网,则令最小生成树的初始状态为只有\(n\)个顶点而无边的非连通图\(T=(V,\{\})\),图中每个顶点自成一个连通分量。在\(E\)中选择代价最小的边,若该边依附的顶点在\(T\)中的不同分量上,则将此边加入到\(T\)中,否则舍去此边而选择下一条代价最小的边。依次类推,直至\(T\)中所有顶点都在同一个连通分量上为止

  • 对边集按权重值进行排序,升序搜索,保证得到符合条件的边以及顶点
  • 判断边连接的顶点是否位于不同分量

Prim算法对边进行展开,每次添加一个边到MST,难点在于如何找到符合条件的边(如何判断两个顶点位于不同分量):

  • 定义结构体Edge,保存边权值和两个顶点(区分边起点和边终点)
  • 定义一维数组edges,类型为Edge,保存每条边信息,并按权值进行升序排序
  • 定义一维数组parent,表示最小生成树的边集,数组下标表示一个顶点,成员值表示另一个顶点
  • 遍历所有边
    • 初始时所有成员值均为0,表示每个顶点属于一个单独分量
    • 假定第一条边的起始顶点为2,终止顶点为8,那么设置parent[2]=8,表示连接边2->8
    • 假定第二条边的起始顶点为4,终止顶点为8,那么设置parent[4]=8,表示连接边4->8
    • 假定第三条边的起始顶点为2,终止顶点为4,由上面两条边的设置可知,顶点24在同一个分量中
    • 设置函数Find,输入起始下标f和数组parent,如果该下标成员值大于0(表明有边相连),将该成员值设为起始下标f,继续遍历,返回最后的f
    • 通过Find遍历边的两个顶点所在的分量,得到返回值nm
      • 如果返回下标值一致,那么属于同一个分量,舍弃该边
      • 如果返回下标值不同,那么两个顶点属于不同的分量。设置parent[n]=m,连接两个分量,并保证下次遍历时得到的最后顶点均为m

c++实现

分别使用邻接矩阵和邻接表实现克鲁斯卡尔算法

邻接矩阵

1
2
3
4
5
6
7
8
9
10
11
12
13
14
15
16
17
18
19
20
21
22
23
24
25
26
27
28
29
30
31
32
33
34
35
36
37
38
39
40
41
42
43
44
45
46
47
48
49
50
51
52
53
54
55
56
57
58
// 权值边存储结构
typedef struct {
int begin;
int end;
int weight;
} Edge;

void AdjacencyMatrixUndirectedGraph::MiniSpanTree_Kruskal(MGraph G) {
int i, j, k, n, m;
std::array<Edge, MAXEDGE> edges = {};
// 保存最小生成树,数组下标表示一个顶点,赋值表示另一个顶点
std::array<int, MAXEDGE> parent = {};

// 将边集赋值给edges
k = 0;
for (i = 0; i < G.numVertexes; i++) {
for (j = i + 1; j < G.numVertexes; j++) {
if (G.arcs[i][j] != GINFINITY) {
Edge edge;
edge.begin = i;
edge.end = j;
edge.weight = G.arcs[i][j];

edges[k] = edge;
k++;
}
}
}
// 按权值升序排序
std::sort(edges.begin(), edges.begin() + G.numEdges, less_second);

int weight = 0;
// 遍历所有边,
for (i = 0; i < G.numEdges; i++) {
n = Find(parent, edges[i].begin);
m = Find(parent, edges[i].end);
// 判断两个分量是否同属一个
if (n != m) {
parent[n] = m;
printf("(%d, %d) %d\n", edges[i].begin, edges[i].end, edges[i].weight);
weight += edges[i].weight;
}
}
cout << "MST权值和为:" << weight << endl;
}

bool AdjacencyMatrixUndirectedGraph::less_second(Edge x, Edge y) {
return x.weight < y.weight;
}

int AdjacencyMatrixUndirectedGraph::Find(std::array<int, MAXEDGE> &parent, int f) {
// 遍历分量
while (parent[f] > 0) {
f = parent[f];
}

return f;
}

邻接表

1
2
3
4
5
6
7
8
9
10
11
12
13
14
15
16
17
18
19
20
21
22
23
24
25
26
27
28
29
30
31
32
33
34
35
36
37
38
39
40
41
42
43
44
45
46
47
48
49
50
51
52
53
54
55
56
void AdjacencyTableUndirectedGraph::MiniSpanTree_Kruskal(GraphAdjList G) {
int i, j, k, n, m;
EdgeNode *e;
std::array<Edge, MAXEDGE> edges = {};
// 保存最小生成树,数组下标表示一个顶点,赋值表示另一个顶点
int parent[MAXVEX] = {};

// 将边集赋值给edges
k = 0;
for (i = 0; i < G.numVertexes; i++) {
e = G.adjList[i].firstEdge;

while (e != nullptr) {
if (e->adjvex > i) {
Edge edge;
edge.begin = i;
edge.end = e->adjvex;
edge.weight = e->weight;

edges[k] = edge;
k++;
}

e = e->next;
}
}
// 按权值升序排序
std::sort(edges.begin(), edges.begin() + G.numEdges, less_second);

int weight = 0;
// 升序遍历
for (i = 0; i < G.numEdges; i++) {
n = Find(parent, edges[i].begin);
m = Find(parent, edges[i].end);
// 判断两个分量是否同属一个
if (n != m) {
parent[n] = m;
printf("(%d, %d) %d\n", edges[i].begin, edges[i].end, edges[i].weight);
weight += edges[i].weight;
}
}
cout << "MST权值和为:" << weight << endl;
}

bool AdjacencyTableUndirectedGraph::less_second(Edge x, Edge y) {
return x.weight < y.weight;
}

int AdjacencyTableUndirectedGraph::Find(int *parent, int f) {
// 遍历分量
while (parent[f] > 0) {
f = parent[f];
}

return f;
}

小结

  • 普里姆算法针对顶点进行展开,每次选择一个顶点进入最小生成树,对于稠密图而言效率更高
  • 克鲁斯卡尔算法针对边进行展开,每次选择一条边连接两个不同分量,对于稀疏图而言效率更高

相关阅读